Read the original document before reading this.
Giordano Bruno (1548-1600) perspective on reasoning
Relativity is third order. Rocket trajectory
Invariance of the speed of light
ChatGpt SR Relativity vs higher order
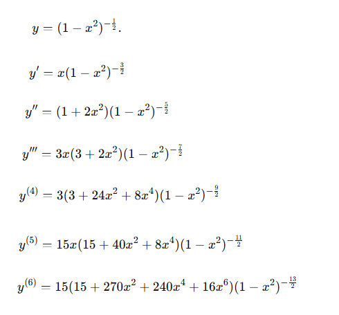
Authority, This is how ChatGpt works, Space time relation equations
Time ChatGpt time dilatation - reference frames vs higher order
Time ChatGpt time dilatation last
Einstein(1879-1955) E=mc2 in one picture.

Relativity is based upon a relative velocity v between two frames.
This relative velocity is fixed, if it is not fixed you would get higher order movements.
The blue arrows are Einstein 's reasoning. We have a red particle emitting two photons. This is the yellow dot 1 and 2 in the left corner.
The energy E0 is the energy before the emission. E1 is the energy remaing. The photons carry 1/2 L energy, so equation 3 is created.
The relativistic energy l' in the other system is stated to be like equation 2.
So if the energy in the other system is H0 before the emission then fill in the equation 2 in the 1/2 L (photon 1 and photon 2) to get equation 4.
Subtracting equation 3 from equation 4 results in equation 5. For equation 6 and 7 Einstein states:
The two differences of the form H - E occurring in this expression have simple physical significations.
H and E are energy values of the same body referred to two systems of co-ordinates which are in motion relatively to each other,
the body being at rest in one of the two systems (system ( x,y,z )). Thus it is clear that the difference H - E can differ
from the kinetic energy K of the body, with respect to the other system ( ?,?,? ), only by an additive constant C, which depends on
the choice of the arbitrary additive constants of the energies H and E. Thus we may place equation 6 and 7.
Now we have equation 8 and this leads to equation 9 using the statement: 'Neglecting magnitudes of fourth and higher orders we may place' , equation 9.
Equation 10 is the difference in kinetic energy, filling in equation 10 leads to equation 11.
Equation 11 results in equation 12.
Einstein never wrote equation 13 and never wrote equation 14.
The change in mass is the change in energy devided by c square.
The process of changing mass into energy per second would mean dm/dt = 1/c2 dE/dt.
Equation dE/dt with E = F dx would result into dE/dt = dF/dt dx + F d(dx/dt) and this equation is controversial.
But if we look at equation 15 and equation 8, notice that the approximation from equation 8 to equation 9 is a infinitesimal reasoning.
All the red arrows are not created by Einstein and are making the statement: 'Neglecting magnitudes of fourth and higher orders we may place' more clear.
But it also makes clear that the velocity v is actualy dx/dt and is not constant.
If velocity v was fixed then differentiating equation 8 by dv (= dx/dt) would be zero.
The mass m would not be able to change into energy.
The first two sentence were: 'Relativity is based upon a relative velocity v between two frames. This relative velocity is fixed, if it is not fixed you would higher order movements.'
The velocity v is actualy dx/dt and is not constant, means that an extra differentiation has taken place.
This was the differentiation of equation 8 by dx/dt (dv).
The reasoning here allows the variation of the relative velocity v, otherwise we cannot approximate equation 8.
This also means allowing higher order movements between system 1 and system 2.
And that would mean reasoning into higher order differential equations.
Einstein's approximation is around v0=0, so the result e=mc2 is not valid around v0=c.
E=mc2 is not valid for photons, they have a velocity of the speed of light c.
The result of this reasoning is equation 12, 13 and 14. Energy change is equal to the mass change times the light speed squared.
But the starting assumption equation 2 states, there is energy L in the system 1 and there is energy L' in the system 2.
Energy is assumped to be a property in a Euclidean space of a particle that is in an Euclidean space.
The result is contradicting the used starting assuption. No reasoning can contradict its own assuptions. Where is the mistake?
The mistake is made by subtracting equation 3 from equation 4 resulting in equation 5.
Equation 3 is valid in Euclidean system 1 and equation 4 is valid in Euclidean system 2.
Subtracting the two equations makes a new equation that is valid not in system 1 and not in system 2, but some what in between.
And this is unclear. The result dm = dE/c2 (equation 13) is not valid because the equation 5 is not observed and cannot be related to agreed observations.
Science is based upon agreed observations.
All relativistic results have the problem that when the result is presented, it is unclear for what Euclidean system it is valid.
The EIH result, the relativistic result for rotating gravitational ellipses is valid in a relativistic space, as it is a relativistic result, but is also valid as Euclidean result.
A scientific result cannot be Euclidean and relativistic at the same time.
Euclidean and relativistic at the same time
The result equation 5 is the result of subtracting equation 3 from equation 4. And equation 3 is in Euclidean system 1 and equation 4 is in Euclidean system 2.
We are thinking about equations all applied to one particle. So, we are also thinking the 'one' particle to be in two Euclidean systems at the same time.
Having the property 'being' in Euclidean system 1 is contradicting the 'being' in Euclidean system 2.
One particle is one particle. Imagination gets you everywhere and in conflict with logic.
You are thinking of one particle in one Euclidean system or you are thinking of two particles and maybe in different systems.
But one cannot think of one particle having two conflicting properties.
There is simply one particle in one Euclidean system.
The original document title is:'Does the inertia of a body depend upon its energy content'.
Lagrange(1736-1814) calulated the kinetic energy and the potential energy with the above reasoning, calculation.
A defined mass m has a resulted energy , kinetic and potential , based upon the above calculation.
An assumption , in this case mass m, cannot be dependent on the result of a reasoning, calculation, if the assumption is used to get to the result.
You simply have no result in this case.
If the assumption is correct , you have a result.
If the assumption is not correct , you do not have a result.
If the assumption is not correct , you do have a not-correct result.
If mass is not constant but dependent on the kinetic and/or potential energy then one could state equation 1 in the picture below.
The mass m is a function of kinetic energy Ek and potential energy Ep.
Assume equation 2 and equation 3 are valid, then equation 4 is created.
The equations 5 and 6 are very simple examples used to get a result. Equation 5 is ; the mass gets lineair heavier with the velocity.
The equation 6 is ; the force out of the reaction is lineair with the movement.
This results in an equation 9. The left term is energy per second.
If one differentates energy (equation 10) by time the result is equation 11 and equation 13.
In equation 13 is a third order term. This is equation 14. There is three times space by time differentiation in this reasoning.
If equation 9 results is a better description of the world, then it is a better equation.
Changing the mass m from independent on velocity to dependent on velocity and recreating the mass independent on velocity by creating m0,
is the way to construct new equations.
These new equations create the new principles on which the understanding of the world is based.
The relative velocity and the infinitesimal variation with this velocity created the velocity dependent mass and that created higher order differential equations.
Einstein has been in third order equations.

EIH Relativity and third order compare 1
EIH Relativity and third order compare 2
EIH Relativity and third order compare 3

EIH Euclidean reference frames


ChatGpt: Relativity and third order compare lineair?
Claude: Relativity and third order compare lineair the noise.
Grok: Relativity and third order compare lineair the noise.
Joseph Louis Lagrange 1736-1813
ChatGpt solar system velocity fit